Geoestatística

Aula 03: Teoria e Prática em R

Alex Monito Nhancololo

Instituto de Matemática, Estatística e Ciência da Computação (IME‑USP)

19/01/2026

Origem, intuições e conceitos essenciais

\(\Longrightarrow\) O problema das minas de ouro (década de 1950)

  • Danie Gerhardus Krige (D. G. Krige), engenheiro de minas sul-africano (África do Sul) estimava o teor de ouro em blocos de rocha não escavados a partir de amostras obtidas por furos de sondagem (Ecker, 2003)

  • O método utilizado gerava erros sistemáticos na estimativa do teor de ouro, levando à superestimação das zonas ricas e à subestimação das zonas pobres.

  • Causa: não era a precisão dos instrumentos utilizados e sim, o uso da estatística clássica (i.i.d.), que ignora a dependência espacial entre as amostras.

  • Consequência: Prejuízos financeiros devido à discrepância entre a estimativa e o recuperado (Krige; Kleingeld, 2005).

Assista ao vídeo produzido pela Federação Brasileira de Geólogos (FEBRAGEO) sobre furos de sondagem clicando aqui.

\(\Longrightarrow\) A Intuição de D.G. Krige

\(\Longrightarrow\) A Formalização de G. Matheron (Década de 1960):

  • Georges Matheron (1960s) sistematizou as ideias de D.G. Krige na Teoria das Variáveis Regionalizadas.

  • G. Matheron mostrou que fenômenos naturais combinam dependência espacial e aleatoriedade local, formalizando assim Geoestatística (Cressie, 1990; Matheron, 1963).

  • Definição: A Geoestatística modela e prediz fenômenos contínuos, onde a variável \(Y(\mathbf{s})\) é observada apenas num conjunto finito de locais \(\{\mathbf{s}_1, \dots, \mathbf{s}_n\}\) (Cressie; Moores, 2022; Myers, 1994).

  • Objetivo: Utilizar a estrutura de dependência espacial para inferir o comportamento da variável em locais não medidos.

  • Expansão: A robustez preditiva consolidou a disciplina além da mineração, abrangendo hidrologia, meteorologia e epidemiologia (Yamamoto; Landim, 2013).

Intuição Visual: Ruído vs. Estrutura

(a) Estatística Clássica
(b) Geoestatística
Figura 1: Comparação: Ruído Branco (Independente) vs. Continuidade Espacial.

Fundamentos teóricos

  • Notação usada: \(y(\mathbf{s})\) representa o valor observado (realização física), enquanto \(Y(\mathbf{s})\) denota a variável aleatória (processo estocástico modelado).

Variável regionalizada

  • Função numérica \(f(\mathbf{s})\) que descreve a distribuição espacial de uma grandeza física (ex: teor de ouro, pH do solo) num domínio \(D^{G}\).

  • Possui um aspecto estruturado (tendência) e um aspecto aleatório (irregularidade local) (Matheron, 1971).

  • As variáveis regionalizadas são tratadas como realizações de um campo aleatório \(\{Y(s) : s \in D^{G}\}\), onde \(s\) é um vetor de coordenadas em \(\mathbb{R}^d\) (Cressie, 1991).

Processo estocástico espacial

  • Coleção de variáveis aleatórias \(\{Y(\mathbf{s}) : \mathbf{s} \in D^{G}\}\) num domínio contínuo. O objetivo é reconstruir a lei de probabilidade a partir de observações finitas (Cressie, 1993).

  • Diferente de séries temporais (passado \(\to\) futuro), o índice espacial \(\mathbf{s}\) não possui ordenação natural em \(d \ge 2\), complexificando a modelagem da dependência (Cressie; Moores, 2022).

Decomposição da variável \(Y(\mathbf{s})\)

Para tornar o processo estocástico tratável, decompomos a variável aleatória \(Y(\mathbf{s})\) em componentes que explicam diferentes escalas de variação.

\(\Longrightarrow\) Decomposição simples:

\[Y(\mathbf{s}) = \mu(\mathbf{s}) + \delta(\mathbf{s})\]

  • \(\mu(\mathbf{s})\): Tendência (Trend/Drift). Variação sistemática de larga escala (função das coordenadas ou covariáveis).

  • \(\delta(\mathbf{s})\): Erro Estocástico. Captura a dependência espacial (correlação) com média zero.

\(\Longrightarrow\) Decomposição Estrutural Completa:

Expande o termo de erro para distinguir variabilidade natural de erro humano (Cressie, 1991; Diggle; Tawn; Moyeed, 1998):

\[Y(\mathbf{s}) = \mu(\mathbf{s}) + W(\mathbf{s}) + \eta(\mathbf{s}) + \epsilon(\mathbf{s})\]

  • \(\mu(\mathbf{s})\): Componente determinística (ex: gradiente de temperatura/latitude). Pode ser modelada via Krigagem (simples, ordinária, universal ou com deriva Externa).

  • \(W(\mathbf{s})\): Sinal espacial (\(L_2\)-contínuo). A estrutura de dependência observável na escala da amostragem.

  • \(\eta(\mathbf{s})\): Variação de microescala. Variabilidade intrínseca do fenômeno em distâncias menores que a amostragem (ex: variação dentro de uma pepita).

  • \(\epsilon(\mathbf{s})\): Ruído branco puro. Erro de medição ou laboratorial, sem realidade no fenômeno natural.

  • A soma das variâncias de microescala e erro (\(\eta(\mathbf{s}) + \eta(\mathbf{s})\)) constitui a descontinuidade na origem do variograma ( efeito Pepita \(c_0\)).

(a) Fenômeno observado: \(Y(s)\)
(b) Tendência global: \(\mu(s)\)
(c) Resíduo estocástico: \(\delta(s)\)
Figura 2: Decomposição de uma variável regionalizada: Tendência global + resíduo estocástico.

Estacionariedade e inferência estatística

  • A unicidade da realização \(\{y(\mathbf{s})\}\) (impossibilidade de repetição do processo natural) impede o cálculo direto da média

\[\mu(\mathbf{s})=E[Y(\mathbf{s})] = \int_{-\infty}^{+\infty} y \cdot f(y; \mathbf{s}) \, dy\:, \]

e variância

\[\sigma^2(\mathbf{s}) = \text{Var}(Y(\mathbf{s})) = E\left[(Y(\mathbf{s}) - \mu(\mathbf{s}))^2\right], \]

em cada local \(\mathbf{s}\) (Cressie, 1993).

  • Para viabilizar a inferência estatística (i.e., estimar os parâmetros do processo a partir de uma única realização), é imperativo invocar a hipótese de estacionariedade (Ver aula 01 ).

Existem dois níveis principais de estacionariedade utilizados na modelação geoestatística aula 01:

  • Estacionaridade de \(2^a\) ordem:

    • \(E[Y(\mathbf{s})] = \mu, \forall \mathbf{s} \in D^G\).

    • \(Cov(Y(\mathbf{s}), Y(\mathbf{s}+\mathbf{h})) = E[(Y(\mathbf{s}) - \mu)(Y(\mathbf{s}+\mathbf{h}) - \mu)] = C(\mathbf{h})\)

    • Se o vetor de separação é nulo (\(\mathbf{h} = \mathbf{0}\)), temos: \(Cov(Y(\mathbf{s}), Y(\mathbf{s+0}))=Var(Y(\mathbf{s})) = C(\mathbf{0}) = \sigma^2\)

    • Esta relação (\(C(\mathbf{0}) = \sigma^2\)) estabelece que o “patamar” máximo de variabilidade do processo é fixo e conhecido a priori.

    • Se \(\sigma^2 \uparrow\) indefinidamente com a área, a condição \(C(\mathbf{0}) < \infty\) é violada, e a estacionariedade de segunda ordem não pode ser assumida, exigindo a adoção da hipótese intrínseca.

Estacionariedade intrínseca

\[ \begin{aligned} E[Y(\mathbf{s}+\mathbf{h}) - Y(\mathbf{s})] &= 0 \\ Var(Y(\mathbf{s}+\mathbf{h}) - Y(\mathbf{s})) &= 2\gamma(\mathbf{h}) \end{aligned} \]

  • A função \(2\gamma(\mathbf{h})\) é denominada variograma, e \(\gamma(\mathbf{h})\) semivariograma.

Relação variograma e covariograma

\[\begin{alignedat}{2} \begin{aligned} &Var(Y(\mathbf{s}+\mathbf{h}) - Y(\mathbf{s})) = 2\gamma(\mathbf{h})\\ 2\gamma(\mathbf{h}) &= Var(Y(\mathbf{s}+\mathbf{h}) - Y(\mathbf{s})) \\ &= E\left[ \left( \{Y(\mathbf{s}+\mathbf{h}) - Y(\mathbf{s})\} - E[Y(\mathbf{s}+\mathbf{h}) - Y(\mathbf{s})] \right)^2 \right] \\ &= E\left[ \left( Y(\mathbf{s}+\mathbf{h}) - Y(\mathbf{s}) \right)^2 \right]\\ &= E\left[ \left( \{Y(\mathbf{s}+\mathbf{h}) - \mu\} - \{Y(\mathbf{s}) - \mu\} \right)^2 \right]\\ &= E\left[ (Y(\mathbf{s}+\mathbf{h}) - \mu)^2 - 2(Y(\mathbf{s}+\mathbf{h}) - \mu)(Y(\mathbf{s}) - \mu) + (Y(\mathbf{s}) - \mu)^2 \right] \\ &= E[(Y(\mathbf{s}+\mathbf{h}) - \mu)^2] - 2E[(Y(\mathbf{s}+\mathbf{h}) - \mu)(Y(\mathbf{s}) - \mu)] + E[(Y(\mathbf{s}) - \mu)^2] \\ &= Var(Y(\mathbf{s}+\mathbf{h})) - 2Cov(Y(\mathbf{s}+\mathbf{h}), Y(\mathbf{s})) + Var(Y(\mathbf{s})) \\ &= C(0) - 2C(\mathbf{h}) + C(0) \\ &= 2(C(0) - C(\mathbf{h}))\\ \Downarrow\\ \gamma(\mathbf{h})&= C(0) - C(\mathbf{h}) \end{aligned} \end{alignedat}\]
  • \(C(\mathbf{h})\) \(\downarrow\) com \(\mathbf{h}\), enquanto \(\gamma(\mathbf{h})\) \(\uparrow\) com \(\mathbf{h}\).

Figura 3: Covariância vs. Semivariograma em Processo Estacionário.

Variograma e funções de covariância

Função de Covariância \(C(\mathbf{h})\)

  • Quantifica a covariância linear entre \(Y(\mathbf{s})\) e \(Y(\mathbf{s} + \mathbf{h})\). Sob estacionariedade de segunda ordem: \(C(\mathbf{h}) = E[(Y(\mathbf{s}) - \mu)(Y(\mathbf{s} + \mathbf{h}) - \mu)]\)

    • \(C(\mathbf{h}) = C(-\mathbf{h})\).

    • \(C(\mathbf{0}) = \sigma^2\) (Variância a priori).

    • Assume que a variância global é finita e constante.

    • Não pode ser definida para processos com variância infinita (ex: movimento Browniano, onde a dispersão cresce com o domínio \(|D| \to \infty\)).

O Variograma \(2\gamma(\mathbf{h})\)

Para lidar com fenômenos onde a variância pode não ser finita, Matheron introduziu a Hipótese Intrínseca, focada na estacionariedade dos incrementos.

\[2\gamma(\mathbf{h}) = Var(Y(\mathbf{s} + \mathbf{h}) - Y(\mathbf{s})) = E[(Y(\mathbf{s} + \mathbf{h}) - Y(\mathbf{s}))^2]\]

  • O Semivariograma é definido como \(\gamma(\mathbf{h})\) (metade do variograma).

  • É mais robusto que a covariância, pois os incrementos permanecem finitos mesmo se a variância global divergir.

  • Se a variância for finita (2ª ordem), existe a relação: \(\gamma(\mathbf{h}) = C(0) - C(\mathbf{h})\).

Elementos do semivariograma

Para a modelagem teórica, é crucial identificar os parâmetros que condicionam a predição espacial:

  • Alcance (Range, \(a\)): Distância \(\|\mathbf{h}\|\) onde a correlação espacial se torna desprezível.

    • Pontos separados por distâncias \(\ge a\) são estatisticamente independentes.

    • Define a malha de amostragem necessária.

  • Efeito Pepita (Nugget, \(C_0\)): Descontinuidade na origem (\(\gamma(\mathbf{0}) \to C_0\)).

    • Soma da variabilidade de microescala (\(\eta\)) e erro de medição (\(\epsilon\)): \(C_0 = \text{Var}(\eta(\mathbf{s})) + \text{Var}(\epsilon(\mathbf{s}))\).
  • Contribuição (Partial Sill, \(C\)): Variância explicada pela estrutura espacial.

    • Diferença entre o Patamar e o Efeito Pepita.

    • Quanto maior \(C\) em relação a \(C_0\), mais forte é a continuidade espacial.

  • Patamar (Sill, \(C_0 + C\)): Valor assintótico onde a função estabiliza.

    • Teoricamente igual à variância total do processo (\(\sigma^2 = C(\mathbf{0})\)).

    • \(\text{Patamar} = \text{Pepita} + \text{Contribuição}\).

Nota

Se o variograma não estabilizar, o processo pode não ter variância finita ou conter uma tendência (drift) não removida.

Figura 4: Elementos do Semivariograma: Alcance, patamar, efeito pepita e contribuição.

Estimadores do variograma

A definição teórica \(2\gamma(\mathbf{h})\) pressupõe o conhecimento da distribuição conjunta do processo.

Dispomos apenas de uma única realização finita \(\mathbf{y} = \{y(\mathbf{s}_1), \dots, y(\mathbf{s}_n)\}\).

  • A função teórica é desconhecida e deve ser estimada empiricamente.

  • A qualidade do variograma experimental é crítica, pois alimenta o modelo de ajuste para a Krigagem.

  • Existem diferentes estimadores para lidar com a qualidade dos dados (com e sem outliers).

Estimador clássico (Matheron)

  • Proposto por Matheron (1963), baseia-se no método dos momentos (média dos quadrados das diferenças):

\[\hat{\gamma}_{M}(\mathbf{h}) = \frac{1}{2|N(\mathbf{h})|} \sum_{(\mathbf{s}_i, \mathbf{s}_j) \in N(\mathbf{h})} (y(\mathbf{s}_i) - y(\mathbf{s}_j))^2\]

  • \(N(\mathbf{h})\): Conjunto de pares separados pelo vetor \(\mathbf{h}\).

  • \(|N(\mathbf{h})|\): Número de pares.

  • É sensível a outliers. Como as diferenças são elevadas ao quadrado, um único erro grosseiro pode inflar a variância estimada.

Estimador Robusto (Cressie-Hawkins)

Desenvolvido por Cressie; Hawkins (1980) para mitigar o impacto de contaminação nos dados e distribuições de cauda longa.

\[\hat{\gamma}_{CH}(\mathbf{h}) = \frac{\left( \frac{1}{|N(\mathbf{h})|} \sum_{(\mathbf{s}_i, \mathbf{s}_j) \in N(\mathbf{h})} |y(\mathbf{s}_i) - y(\mathbf{s}_j)|^{1/2} \right)^4}{0.457 + \frac{0.494}{|N(\mathbf{h})|}}\]

  • Utiliza a raiz quadrada das diferenças para suavizar extremos.

  • O denominador atua como fator de correção de viés para amostras finitas.

  • Recomendado quando há suspeita de não-normalidade severa ou erros de medição.

[using unconditional Gaussian simulation]
Figura 5: Comparação de Robustez: O estimador de Matheron (laranja) é sensível aos outliers, superestimando a variância. O estimador de Cressie (azul) ignora a contaminação e ajusta-se quase perfeitamente ao Modelo Verdadeiro (tracejado).
Figura 6: Esquematização do cálculo do Variograma Experimental: Os pontos observados (y) não estão a distâncias exatas, pelo que são agrupados em anéis concêntricos (Lags). Todos os pontos na área azul contribuem para o cálculo da variância média daquele Lag específico.
(a) Variograma Cloud (Bruto)
(b) Variograma Experimental (Médias)
Figura 7: Cálculo do Variograma Experimental: Nuvem (Cloud) vs. Experimental (Binned)

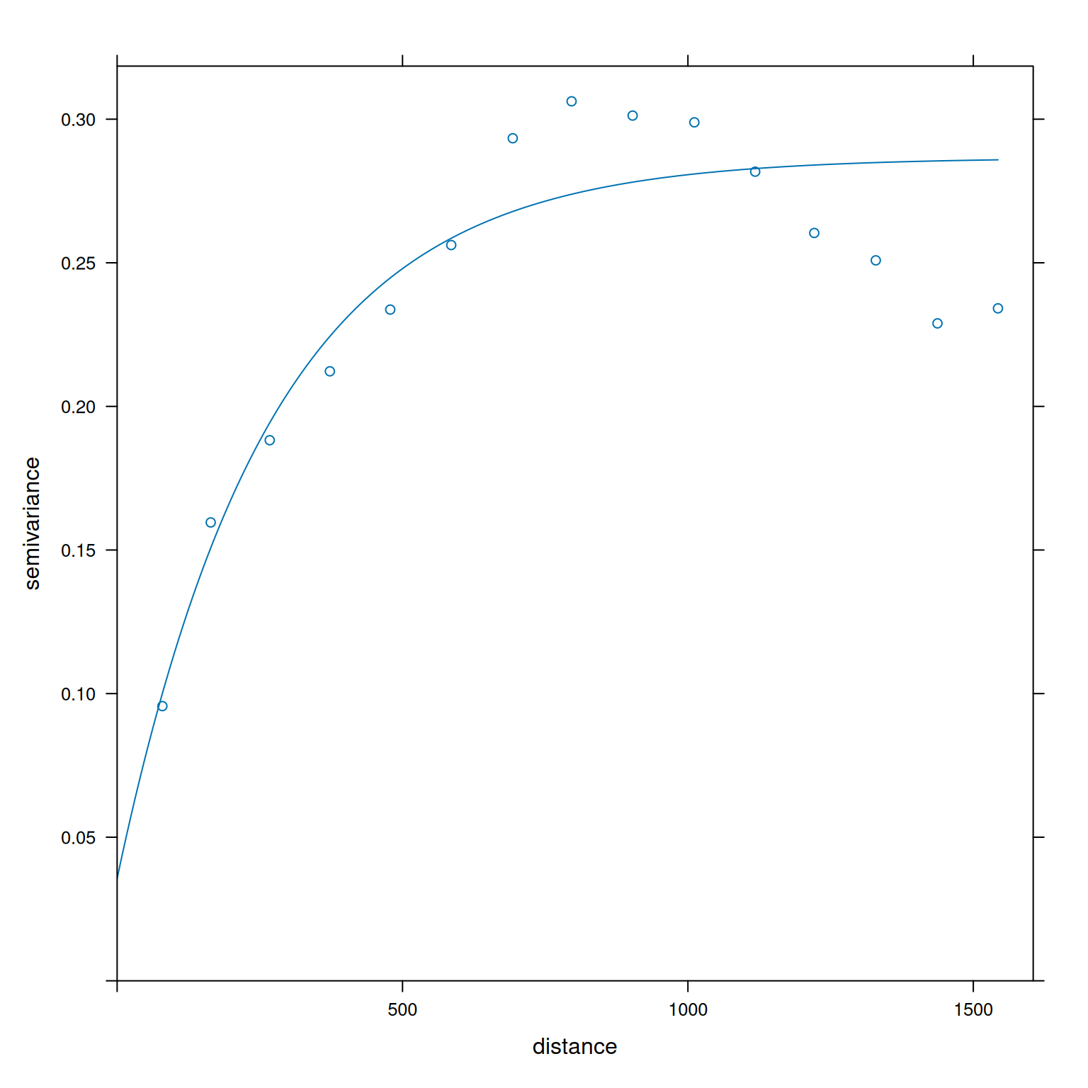
Modelagem do variograma

O variograma experimental fornece apenas estimativas pontuais discretas \(\hat{\gamma}(\mathbf{h}_k)\).

A Krigagem exige o valor de \(\gamma(\mathbf{h})\) para qualquer distância \(\mathbf{h}\) no domínio.

  • Por que não interpolar? Uma simples ligação de pontos (splines/linear) não garante que a variância de estimativa seja não-negativa (\(\sigma_E^2 \ge 0\)).

  • A função deve ser condicionalmente negativa definida (para o variograma) ou positiva definida (para covariância) (Matheron, 1971).

  • A Solução: Ajustar um modelo teórico paramétrico \(\gamma(\mathbf{h}; \boldsymbol{\theta})\) onde estimamos \(\boldsymbol{\theta} = (C_0, C, a)\).

É o modelo mais intuitivo. Descreve fenômenos com uma transição clara entre dependência e independência.

  • Comportamento: Crescimento quase linear na origem.

  • Alcance: Atinge o patamar exatamente na distância \(a\).

\[\gamma(h) = \begin{cases} C_0 + C \left( \frac{3h}{2a} - \frac{1}{2}\left(\frac{h}{a}\right)^3 \right) & \text{se } 0 < h \le a \\ C_0 + C & \text{se } h > a \end{cases}\]

Descreve continuidade mais suave, comum em fenômenos ambientais (ex: dispersão de poluentes).

  • Comportamento: Crescimento rápido na origem, mas assintótico.

  • Alcance Prático (\(a'\)): Nunca atinge o patamar matematicamente. O parâmetro \(a\) é apenas uma escala.

  • Define-se o alcance prático como a distância onde atinge 95% do patamar: \(a' \approx 3a\)

\[\gamma(h) = C_0 + C(1 - \exp(-h/a))\]

Representa fenômenos extremamente regulares e infinitamente diferenciáveis.

  • Comportamento: Parabólico na origem (\(h^2\)). Variação muito suave a curtas distâncias.

  • Alcance prático: Assintótico. \(a' \approx \sqrt{3}a\).

  • Alerta crítico: Usar este modelo sem efeito pepita (\(C_0 = 0\)) causa instabilidade numérica (matriz singular) e artefatos na predição (Wackernagel, 2003).

\[\gamma(h) = C_0 + C(1 - \exp(-h^2/a^2))\]

Figura 8: Comparação dos Modelos Teóricos: O Esférico (linear na origem) atinge o patamar abruptamente. O Exponencial sobe rápido mas estabiliza lentamente (assintótico). O Gaussiano (parabólico na origem) representa fenômenos muito suaves.

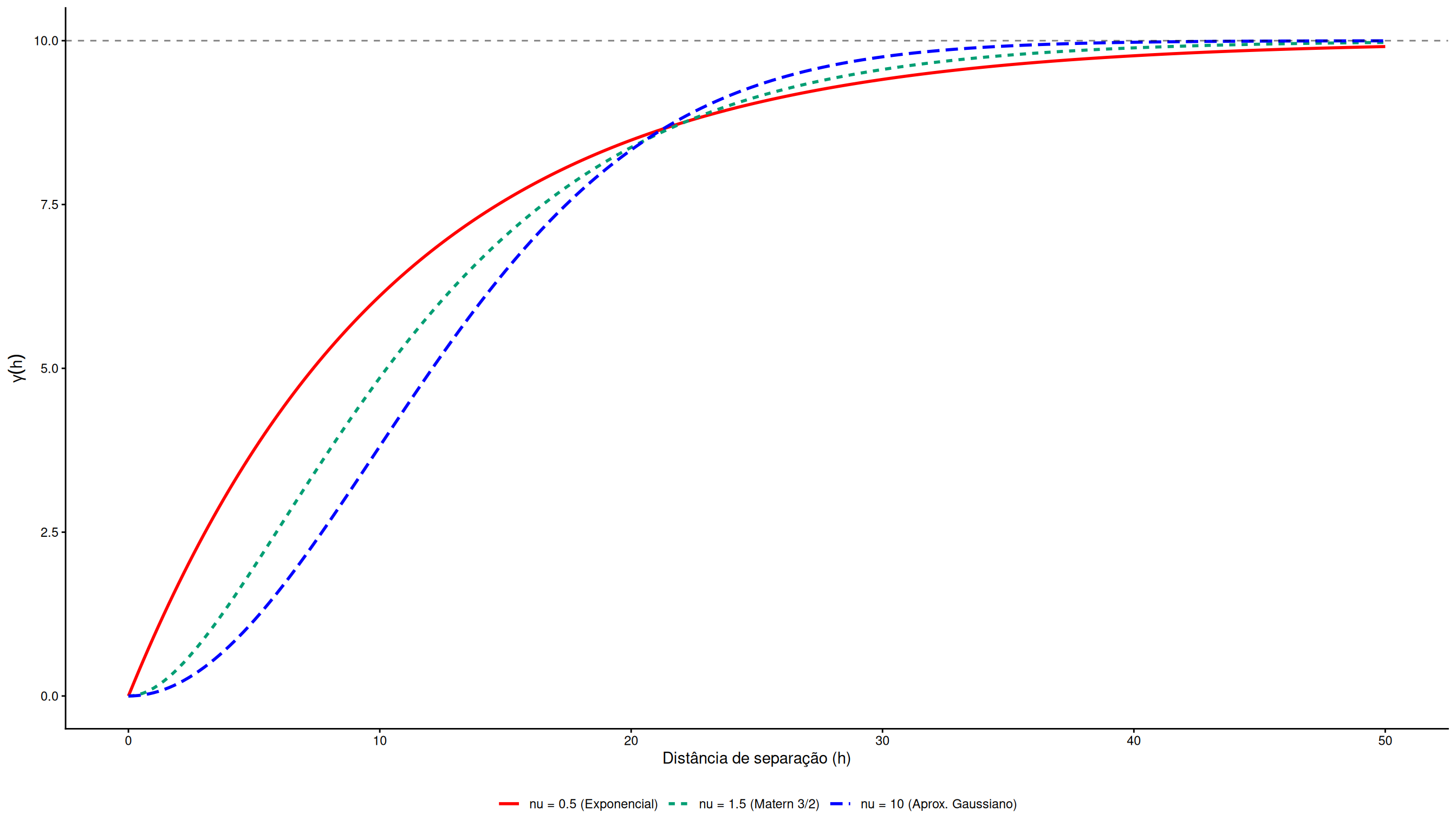
Outros modelos: a família Matérn

Por que escolher a família Matérn?

Guttorp; Gneiting (2006) argumentam que esta família deve ser preferida por unificar as abordagens anteriores.

  • Modelos clássicos impõem uma suavidade fixa (Exponencial é rugoso, Gaussiano é muito suave).

  • Introdução de um parâmetro de forma \(\nu\) (suavidade).

  • O modelo permite que os próprios dados ditem o grau de diferenciabilidade do campo aleatório \(Y(\mathbf{s})\) (Sahu, 2022).

  • A função transita entre as formas exponencial e gaussiana de acordo com \(\nu\):

\[\gamma(h) = C_0 + C \left[ 1 - \frac{1}{2^{\nu-1}\Gamma(\nu)} \left(\frac{2\sqrt{\nu} \cdot h}{a}\right)^\nu K_\nu\left(\frac{2\sqrt{\nu} \cdot h}{a}\right) \right]\]

  • \(C\) (Contribuição): Variância estrutural.

  • \(a\) (Alcance): Parâmetro de escala da distância.

  • \(\nu\) (Suavidade): Parâmetro crítico.

    • Se \(\nu = 0.5 \to\) Modelo Exponencial.

    • Se \(\nu \to \infty \to\) Modelo Gaussiano.

  • \(K_\nu(\cdot)\): Função de Bessel modificada de 2ª espécie (garante validade multidimensional).

Figura 9: A Família Matérn e a Flexibilidade de Suavidade (nu). O parâmetro nu controla o comportamento na origem: nu=0.5 recupera o modelo Exponencial, enquanto nu elevados aproximam-se do Gaussiano.

Anisotropia

Hipótese de Isotropia (Ideal): A dependência espacial depende apenas da distância \(\|\mathbf{h}\|\). As isolinhas do variograma formam círculos.

Realidade (Anisotropia): Processos geológicos (sedimentação, fluxo de água, vento) criam direções preferenciais de continuidade.

  • Processo anisotropico

    • Def: A variabilidade espacial muda com a direção.

    • Modelagem: Não requer novas funções, mas sim transformações lineares do sistema de coordenadas (Mapeamento Anisotrópico \(\to\) Isotrópico).

    • Tipos: Geométrica, Zonal e Mista (Yamamoto; Landim, 2013).

Ocorre quando o Alcance (\(a\)) varia com a direção, mas o Patamar é constante.

  • Isolinhas: Formam elipses.

  • Parâmetros:

    • \(a_{max}\): Alcance na direção de maior continuidade.

    • \(a_{min}\): Alcance na direção de menor continuidade.

    • \(\phi\): Ângulo (azimute) do eixo maior.

    • \(\lambda = a_{max} / a_{min}\): Razão de anisotropia.

  • A transformação (\(\mathbf{h}' = \mathbf{A}\mathbf{h}\)):

  • Rotação (\(\mathbf{R}\)): Alinha os eixos com a direção \(\phi\).

  • Escalonamento (\(\mathbf{S}\)): Comprime o eixo maior (\(1/\lambda\)).

Ocorre quando o Patamar (variância total) varia consoante a direção.

  • Desafia a hipótese de estacionariedade (covariância na origem não única).

  • Variabilidade vertical muito superior à horizontal (ex: estratificação de solos).

  • Estruturas Aninhadas (Journel; Huijbregts, 1976).

\[\gamma(\mathbf{h}) = \gamma_{iso}(\|\mathbf{h}\|) + \gamma_{zonal}(|h_z|)\]

\(\gamma_{zonal}\) depende apenas da distância vertical.

Na horizontal (\(h_z=0\)), o patamar é menor.

Reflete camadas onde propriedades persistem lateralmente por longas distâncias (alcance horizontal \(\to \infty\)).

Generalização para sistemas complexos com múltiplas escalas de variação.

Figura 10: Tipos de Anisotropia. (A) Geométrica: mesmo patamar, alcances diferentes. (B) Zonal: alcances similares, patamares diferentes.

Diagnóstico da Anisotropia

Para garantir a precisão da Krigagem, devemos diagnosticar a dependência direcional.

Ajuste de modelos de semivariograma

O Objetivo: estimar o vetor de parâmetros (\(\boldsymbol{\theta}=(c_0, C_0 + C, a, \nu)\) do variograma teórico \((2\gamma(\mathbf{h};\boldsymbol{\theta}))\).

Métodos de ajuste

\(\Longrightarrow\) Métodos baseados no variograma experimental

  • Mínimos Quadrados Ponderados (WLS): Os estimadores do variograma têm variância heterocedástica. A variância do estimador cresce com o valor do próprio variograma.

  • Mínimos Quadrados Generalizados (GLSE): WLS assume que as estimativas em diferentes lags são independentes. Na realidade, \(\text{Cov}(\hat{\gamma}(\mathbf{h}_i), \hat{\gamma}(\mathbf{h}_j)) \neq 0\).

\(\Longrightarrow\) Métodos baseados nos Dados:

  • Máxima Verossimilhança (ML): Ajusta o modelo diretamente aos dados brutos \(\mathbf{y}\).

  • Máxima Verossimilhança Restrita (REML): ML subestima variância (viés) por assumir que \(\boldsymbol{\beta}\) é conhecida, ignorando os g.l perdidos na sua estimação. REML corrige o viés.

  • REML Robusto: Mitiga a influência de outliers na estimação (ver notas de aula).

Mínimos Quadrados Ponderados (WLS)

\[\begin{aligned} \hat{\gamma}_{M}(\mathbf{h}) &= \frac{1}{2|N(\mathbf{h})|} \sum_{(\mathbf{s}_i, \mathbf{s}_j) \in N(\mathbf{h})} (y(\mathbf{s}_i) - y(\mathbf{s}_j))^2 \\ D(\mathbf{h}) &= Y(\mathbf{s} + \mathbf{h}) - Y(\mathbf{s}) \sim \mathcal{N}(0, 2\gamma(\mathbf{h})) \\ \frac{D(\mathbf{h})}{\sqrt{2\gamma(\mathbf{h})}} &\sim \mathcal{N}(0, 1) \implies \left( \frac{D(\mathbf{h})}{\sqrt{2\gamma(\mathbf{h})}} \right)^2 \sim \chi^2_1 \\ [D(\mathbf{h})]^2 &\sim 2\gamma(\mathbf{h}) \cdot \chi^2_1 \\ \text{Sendo } \text{Var}(\chi^2_1) &= 2: \\ \text{Var}\left[ (Y(\mathbf{s}_i) - Y(\mathbf{s}_j))^2 \right] &= \text{Var}\left[ 2\gamma(\mathbf{h}) \cdot \chi^2_1 \right] \\ &= [2\gamma(\mathbf{h})]^2 \cdot \text{Var}(\chi^2_1) = 4[\gamma(\mathbf{h})]^2 \cdot 2 = 8[\gamma(\mathbf{h})]^2 \end{aligned}\]

Cont…

\[\begin{aligned} \text{Var}[\hat{\gamma}(\mathbf{h})] &= \text{Var}\left[ \frac{1}{2 N(\mathbf{h})} \sum_{i=1}^{N(\mathbf{h})} (Y(\mathbf{s}_i) - Y(\mathbf{s}_j))^2 \right] \\ &= \frac{1}{4 [N(\mathbf{h})]^2} \sum_{i=1}^{N(\mathbf{h})} \underbrace{\text{Var}\left[ (Y(\mathbf{s}_i) - Y(\mathbf{s}_j))^2 \right]}_{8[\gamma(\mathbf{h})]^2} \\ &= \frac{1}{4 [N(\mathbf{h})]^2} \cdot N(\mathbf{h}) \cdot 8[\gamma(\mathbf{h})]^2 = \frac{2[\gamma(\mathbf{h})]^2}{N(\mathbf{h})} \\ w(\mathbf{h}) &\propto \frac{1}{\text{Var}[\hat{\gamma}(\mathbf{h})]} = \frac{N(\mathbf{h})}{[\gamma(\mathbf{h}; \boldsymbol{\theta})]^2} \\ \hat{\boldsymbol{\theta}}_{WLS} &= \arg \min_{\boldsymbol{\theta}} \sum_{k=1}^{K} \frac{|N(\mathbf{h}_k)|}{[\gamma(\mathbf{h}_k; \boldsymbol{\theta})]^2} \left[ \hat{\gamma}(\mathbf{h}_k) - \gamma(\mathbf{h}_k; \boldsymbol{\theta}) \right]^2\\ \hat{\boldsymbol{\theta}}_{WLS} &= \arg \min_{\boldsymbol{\theta}} \sum_{k=1}^{K} w(\mathbf{h}_k) \left[ \hat{\gamma}(\mathbf{h}_k) - \gamma(\mathbf{h}_k; \boldsymbol{\theta}) \right]^2, \quad w(\mathbf{h}_k) = \frac{|N(\mathbf{h}_k)|}{[\gamma(\mathbf{h}_k; \boldsymbol{\theta})]^2} \end{aligned}\]

Cont …

  • Numerador \(|N(\mathbf{h})|\): Dá mais peso a lags com muitos pares (mais confiáveis).

  • Denominador \([\gamma(\mathbf{h})]^2\): Penaliza fortemente erros em distâncias curtas (onde \(\gamma\) é pequeno).

  • Garante um ajuste preciso na origem, crucial para a estabilidade da Krigagem.

Mínimos Quadrados Generalizados (GLSE)

\[\begin{aligned} \hat{\gamma}_{M}(\mathbf{h}) &= \frac{1}{2|N(\mathbf{h})|} \sum_{(\mathbf{s}_i, \mathbf{s}_j) \in N(\mathbf{h})} (y(\mathbf{s}_i) - y(\mathbf{s}_j))^2 \\ \text{Seja } \mathbf{c}_{ij} & \text{ tal que } \mathbf{c}_{ij}^\top \mathbf{y} = y(\mathbf{s}_i) - y(\mathbf{s}_j): \\ (y(\mathbf{s}_i) - y(\mathbf{s}_j))^2 &= (\mathbf{c}_{ij}^\top \mathbf{y})(\mathbf{c}_{ij}^\top \mathbf{y})^\top = \mathbf{y}^\top (\mathbf{c}_{ij} \mathbf{c}_{ij}^\top) \mathbf{y} \\ \text{Defina } & \mathbf{A}(\mathbf{h}) = \sum_{N(\mathbf{h})} \mathbf{c}_{ij} \mathbf{c}_{ij}^\top: \\ 2\hat{\gamma}(\mathbf{h}) &= \frac{1}{|N(\mathbf{h})|} \mathbf{y}^\top \mathbf{A}(\mathbf{h}) \mathbf{y}\\ \text{Seja } \mathbf{y} &\sim \mathcal{N}(\mathbf{0}, \boldsymbol{\Sigma}_y). \text{ Pelo Teorema de Formas Quadráticas:} \\ \text{Cov}(\mathbf{y}^\top \mathbf{A} \mathbf{y}, \mathbf{y}^\top \mathbf{B} \mathbf{y}) &= 2 \text{tr}(\mathbf{A} \boldsymbol{\Sigma}_y \mathbf{B} \boldsymbol{\Sigma}_y) \\ \end{aligned}\]
\[\begin{aligned} {\boldsymbol{\Sigma}_{\hat{\gamma}}}_{uv} &= \text{Cov}(2\hat{\gamma}(\mathbf{h}_u), 2\hat{\gamma}(\mathbf{h}_v)) \\ &= \text{Cov}\left( \frac{\mathbf{y}^\top \mathbf{A}(\mathbf{h}_u) \mathbf{y}}{|N(\mathbf{h}_u)|}, \frac{\mathbf{y}^\top \mathbf{A}(\mathbf{h}_v) \mathbf{y}}{|N(\mathbf{h}_v)|} \right) \\ &= \frac{1}{|N(\mathbf{h}_u)| |N(\mathbf{h}_v)|} \underbrace{\text{Cov}(\mathbf{y}^\top \mathbf{A}(\mathbf{h}_u) \mathbf{y}, \mathbf{y}^\top \mathbf{A}(\mathbf{h}_v) \mathbf{y})}_{2 \text{tr}\left( \mathbf{A}(\mathbf{h}_u) \boldsymbol{\Sigma}_y \mathbf{A}(\mathbf{h}_v) \boldsymbol{\Sigma}_y \right)} \\ &= \frac{2}{|N(\mathbf{h}_u)| |N(\mathbf{h}_v)|} \text{tr}\left( \mathbf{A}(\mathbf{h}_u) \boldsymbol{\Sigma}_y(\boldsymbol{\theta}) \mathbf{A}(\mathbf{h}_v) \boldsymbol{\Sigma}_y(\boldsymbol{\theta}) \right)\\ \end{aligned}\]

Construção do Sistema GLSE

  1. Monte a matriz de covariância \(\boldsymbol{\Sigma}_{\hat{\gamma}}(\boldsymbol{\theta}) \text{ de dimensão} K \times K \text{ usando os elementos } [\boldsymbol{\Sigma}_{\hat{\gamma}}]_{uv} \text{ calculados acima.}\)

  2. Defina \(\hat{\boldsymbol{\gamma}} = [\hat{\gamma}(\mathbf{h}_1) \dots \hat{\gamma}(\mathbf{h}_K)]^\top \quad \text{e} \quad \boldsymbol{\gamma}(\boldsymbol{\theta}) = [\gamma(\mathbf{h}_1; \boldsymbol{\theta}) \dots \gamma(\mathbf{h}_K; \boldsymbol{\theta})]^\top\)

  3. \(\hat{\boldsymbol{\theta}}_{GLSE} = \arg \min_{\boldsymbol{\theta}} (\hat{\boldsymbol{\gamma}} - \boldsymbol{\gamma}(\boldsymbol{\theta}))^\top [\boldsymbol{\Sigma}_{\hat{\gamma}}(\boldsymbol{\theta})]^{-1} (\hat{\boldsymbol{\gamma}} - \boldsymbol{\gamma}(\boldsymbol{\theta}))\)

Máxima verossimilhança

\[\begin{aligned} \mathbf{y} &= \mathbf{X}\boldsymbol{\beta} + \boldsymbol{\eta},\: \:\quad \boldsymbol{\eta} \sim \mathcal{N}(\mathbf{0}, \mathbf{V}(\boldsymbol{\theta})), \: \mathbf{y} | \mathbf{X}\boldsymbol{\beta} \sim \mathcal{N}(\mathbf{X}\boldsymbol{\beta}, \mathbf{V}(\boldsymbol{\theta})) \\ f(\mathbf{y} | \boldsymbol{\beta}, \boldsymbol{\theta}) &= (2\pi)^{-n/2} |\mathbf{V}(\boldsymbol{\theta})|^{-1/2} \exp\left( -\frac{1}{2} (\mathbf{y} - \mathbf{X}\boldsymbol{\beta})^\top \mathbf{V}(\boldsymbol{\theta})^{-1} (\mathbf{y} - \mathbf{X}\boldsymbol{\beta}) \right) \\ L(\boldsymbol{\beta}, \boldsymbol{\theta}) &= \ln[f(\mathbf{y} | \boldsymbol{\beta}, \boldsymbol{\theta})] \\ &= -\frac{n}{2}\ln(2\pi) - \frac{1}{2}\ln|\mathbf{V}(\boldsymbol{\theta})| - \frac{1}{2}(\mathbf{y} - \mathbf{X}\boldsymbol{\beta})^\top \mathbf{V}(\boldsymbol{\theta})^{-1} (\mathbf{y} - \mathbf{X}\boldsymbol{\beta}) \end{aligned}\]

Cont …

\[\begin{aligned} \text{Max. em relação a } \boldsymbol{\beta}: & \quad \frac{\partial L}{\partial \boldsymbol{\beta}} = \mathbf{X}^\top \mathbf{V}^{-1} (\mathbf{y} - \mathbf{X}\boldsymbol{\beta}) = 0 \\ \mathbf{X}^\top \mathbf{V}^{-1} \mathbf{y} &= (\mathbf{X}^\top \mathbf{V}^{-1} \mathbf{X}) \boldsymbol{\beta} \\ \hat{\boldsymbol{\beta}}_{GLS} &= (\mathbf{X}^\top \mathbf{V}(\boldsymbol{\theta})^{-1} \mathbf{X})^{-1} \mathbf{X}^\top \mathbf{V}(\boldsymbol{\theta})^{-1} \mathbf{y} \\ \mathbf{res} &= \mathbf{y} - \mathbf{X}\hat{\boldsymbol{\beta}}_{GLS} \\ L_{ML}(\boldsymbol{\theta}) &= -\frac{n}{2}\ln(2\pi) - \frac{1}{2}\ln|\mathbf{V}(\boldsymbol{\theta})| - \frac{1}{2} \mathbf{res}^\top \mathbf{V}(\boldsymbol{\theta})^{-1} \mathbf{res} \\ -2L_{ML}(\boldsymbol{\theta}) &\propto \ln|\mathbf{V}(\boldsymbol{\theta})| + (\mathbf{y} - \mathbf{X}\hat{\boldsymbol{\beta}}_{GLS})^\top \mathbf{V}(\boldsymbol{\theta})^{-1} (\mathbf{y} - \mathbf{X}\hat{\boldsymbol{\beta}}_{GLS}) \end{aligned}\]

Máxima Verossimilhança Restrita (REML)

Em \((\mathbf{y}\mid\mathbf{X}\boldsymbol{\beta}\sim\mathcal{N}(\mathbf{X}\boldsymbol{\beta},\mathbf{V}(\boldsymbol{\theta})))\), a tendência \((\mathbf{X}\boldsymbol{\beta})\) introduz viés; elimina-se \((\boldsymbol{\beta})\) usando contrastes (combinação linear das observações construída para eliminar certos efeitos) de erro \((\mathbf{w}=\mathbf{K}^\top\mathbf{y})\), com \((\mathbf{K}^\top\mathbf{X}=\mathbf{0})\).

\[\begin{aligned} \small E[\mathbf{w}] &= E[\mathbf{K}^\top (\mathbf{X}\boldsymbol{\beta} + \boldsymbol{\eta})] = \underbrace{\mathbf{K}^\top \mathbf{X}}_{\mathbf{0}} \boldsymbol{\beta} + \mathbf{K}^\top E[\boldsymbol{\eta}] = \mathbf{0} \\ \text{Var}[\mathbf{w}] &= \mathbf{K}^\top \text{Var}[\mathbf{y}] \mathbf{K} = \mathbf{K}^\top \mathbf{V}(\boldsymbol{\theta}) \mathbf{K}, \: \: \quad \mathbf{w} \sim \mathcal{N}(\mathbf{0}, \mathbf{K}^\top \mathbf{V}(\boldsymbol{\theta}) \mathbf{K}) \\ L_{R}(\boldsymbol{\theta}) &= -\frac{n-p}{2}\ln(2\pi) - \frac{1}{2}\ln|\mathbf{K}^\top \mathbf{V}\mathbf{K}| - \frac{1}{2}\mathbf{w}^\top (\mathbf{K}^\top \mathbf{V}\mathbf{K})^{-1} \mathbf{w} \\ \text{Identidades:} & \quad \ln|\mathbf{K}^\top \mathbf{V}\mathbf{K}| = \ln|\mathbf{V}| + \ln|\mathbf{X}^\top \mathbf{V}^{-1} \mathbf{X}| - \underbrace{\ln|\mathbf{X}^\top \mathbf{X}| - 2\ln|\mathbf{K}|}_{\text{Constante em relação a } \boldsymbol{\theta}} \\ & \quad \mathbf{w}^\top (\mathbf{K}^\top \mathbf{V}\mathbf{K})^{-1} \mathbf{w} = (\mathbf{y} - \mathbf{X}\hat{\boldsymbol{\beta}}_{GLS})^\top \mathbf{V}^{-1} (\mathbf{y} - \mathbf{X}\hat{\boldsymbol{\beta}}_{GLS}) \\ L_{REML}(\boldsymbol{\theta}) &= \text{const} - \frac{1}{2} \left( \ln|\mathbf{V}| + \ln|\mathbf{X}^\top \mathbf{V}^{-1} \mathbf{X}| + (\mathbf{y} - \mathbf{X}\hat{\boldsymbol{\beta}}_{GLS})^\top \mathbf{V}^{-1} (\mathbf{y} - \mathbf{X}\hat{\boldsymbol{\beta}}_{GLS}) \right) \\ -2L_{REML}(\boldsymbol{\theta}) &\propto \underbrace{\ln|\mathbf{V}(\boldsymbol{\theta})|}_{\text{Ajuste Covariância}} + \underbrace{(\mathbf{y} - \mathbf{X}\hat{\boldsymbol{\beta}}_{GLS})^\top \mathbf{V}(\boldsymbol{\theta})^{-1} (\mathbf{y} - \mathbf{X}\hat{\boldsymbol{\beta}}_{GLS})}_{\text{Ajuste aos Resíduos}} + \underbrace{\ln|\mathbf{X}^\top \mathbf{V}(\boldsymbol{\theta})^{-1} \mathbf{X}|}_{\text{Penalidade de Complexidade}} \end{aligned}\]

Figura 11: Ajuste do modelo teórico sobre o experimental usando WLS

Métodos de Predição

A predição espacial visa estimar o valor da variável \(Y(\mathbf{s}_0)\) num local não amostrado \(\mathbf{s}_0\), baseando-se nos vizinhos observados.

\(\Longrightarrow\) Krigagem (BLUE): Melhor Estimador Linear Não Viciado.

Krigagem Simples

  • Assume que \(E[Y(\mathbf{s})] = \mu\) é conhecida e constante em todo o domínio (Journel; Huijbregts, 1976). O estimador baseia-se nos resíduos em relação à média:
\[\begin{aligned} \hat{Y}_{KS}(\mathbf{s}_0) &= \mu + \sum_{i=1}^n \lambda_i (Y(\mathbf{s}_i) - \mu) \\ E[\hat{Y}_{KS}(\mathbf{s}_0) - Y(\mathbf{s}_0)] &= \mu + \sum_{i=1}^n \lambda_i E[Y(\mathbf{s}_i) - \mu] - E[Y(\mathbf{s}_0)] = 0 \\ \sigma_E^2 &= \text{Var}\left( \sum_{i=1}^n \lambda_i Y(\mathbf{s}_i) - Y(\mathbf{s}_0) \right) \\ &= \text{Var}\left( \sum_{i=1}^n \lambda_i Y(\mathbf{s}_i) \right) + \text{Var}(Y(\mathbf{s}_0)) - 2\text{Cov}\left( \sum_{i=1}^n \lambda_i Y(\mathbf{s}_i), Y(\mathbf{s}_0) \right) \\ \end{aligned}\]
\[\begin{aligned} \sigma_E^2 &= \sum_{i=1}^n \sum_{j=1}^n \lambda_i \lambda_j C(\mathbf{s}_i, \mathbf{s}_j) + C(0) - 2 \sum_{i=1}^n \lambda_i C(\mathbf{s}_i, \mathbf{s}_0)\\ \frac{\partial \sigma_E^2}{\partial \lambda_k} &= \frac{\partial}{\partial \lambda_k} \left( \sum_{i=1}^n \sum_{j=1}^n \lambda_i \lambda_j C_{ij} - 2 \sum_{i=1}^n \lambda_i C_{i0} + C_{00} \right) \\ &= \left( \sum_{j=1}^n \lambda_j C_{kj} + \sum_{i=1}^n \lambda_i C_{ik} \right) - 2C_{k0} \\ &= 2 \sum_{j=1}^n \lambda_j C_{kj} - 2C_{k0} \\ \text{Igualando a zero:} & \\ 2 \sum_{j=1}^n \lambda_j C_{kj} - 2C_{k0} &= 0 \implies \sum_{j=1}^n \lambda_j C_{kj} = C_{k0}, \quad \forall k=1,\dots,n \\ \mathbf{\Sigma} \boldsymbol{\lambda} &= \mathbf{c} \implies \boldsymbol{\lambda} = \mathbf{\Sigma}^{-1} \mathbf{c} \end{aligned}\]
(a) Predição
(b) Variância de krigagem
Figura 12: Krigagem simples

Krigagem Ordinária (KO)

  • Média \(E[Y(\mathbf{s})] = \mu\) é constante mas desconhecida.

  • O estimador é uma combinação linear direta: \(\hat{Y}_{KO}(\mathbf{s}_0) = \sum_{i=1}^n \lambda_i Y(\mathbf{s}_i)\)

\[\begin{aligned} E[\hat{Y}_{KO} - Y_0] &= \sum \lambda_i E[Y_i] - E[Y_0] = \mu \sum \lambda_i - \mu =\mu \left( \sum_{i=1}^n \lambda_i - 1 \right) = 0 \\ \text{(Restrição)} & \quad \sum_{i=1}^n \lambda_i = 1, \: \: \text{M. Lagrange:} = L(\boldsymbol{\lambda}, \nu) = \sigma_E^2 + 2\nu \left( \sum_{i=1}^n \lambda_i - 1 \right) \\ &= \sum_i \sum_j \lambda_i \lambda_j C_{ij} + C(0) - 2 \sum_i \lambda_i C_{i0} + 2\nu \left( \sum_i \lambda_i - 1 \right)\\ \frac{\partial L}{\partial \lambda_k} &= 2 \sum_{j=1}^n \lambda_j C_{kj} - 2 C_{k0} + 2\nu = 0 \implies \sum_{j=1}^n \lambda_j C_{kj} + \nu = C_{k0} \end{aligned}\]

Cont …

\[\begin{aligned} \small \frac{\partial L}{\partial \nu} &= 2 \left( \sum_{i=1}^n \lambda_i - 1 \right) = 0 \implies \sum_{i=1}^n \lambda_i = 1 \\ \sigma_{KO}^2 &= \sum_{i=1}^n \lambda_i \underbrace{\left( \sum_{j=1}^n \lambda_j C_{ij} \right)}_{C_{i0} - \nu} + C(0) - 2 \sum_{i=1}^n \lambda_i C_{i0} \\ &= \sum_{i=1}^n \lambda_i C_{i0} - \nu \underbrace{\sum_{i=1}^n \lambda_i}_{1} + C(0) - 2 \sum_{i=1}^n \lambda_i C_{i0} \\ &= C(0) - \sum_{i=1}^n \lambda_i C_{i0} - \nu \\ & \text{ ou } \sigma_{KO}^2 = \sum_{i=1}^n \lambda_i \gamma(\mathbf{s}_i - \mathbf{s}_0) + \nu \end{aligned}\]
(a) Predição
(b) Variância de krigagem
Figura 13: Krigagem Ordinária

Krigagem Universal (KU)

  • A média não é constante, mas possui uma tendência (drift) determinística modelada usando coordenadas: \(\mu(\mathbf{s}) = \beta_0 + \beta_1 x + \beta_2 y\)).
\[\begin{aligned} \small \quad Y(\mathbf{s}) = \mu(\mathbf{s}) + \delta(\mathbf{s}), \: \: \mu(\mathbf{s}) &= \sum_{l=0}^{L} a_l f_l(\mathbf{s}), \: f_0(\mathbf{s}) \equiv 1 , \:\: E[\delta(\mathbf{s})] = 0\\ \text{Cov}(\delta(\mathbf{s}_i), \delta(\mathbf{s}_j)) &= C_{ij}\\ E[\hat{Y} - Y_0] &= \sum \lambda_i \mu(\mathbf{s}_i) - \mu(\mathbf{s}_0)= \sum_{l=0}^L a_l \left[ \sum_{i=1}^n \lambda_i f_l(\mathbf{s}_i) - f_l(\mathbf{s}_0) \right] = 0\\ \text{restrição}: \sum_{i=1}^n \lambda_i f_l(\mathbf{s}_i) &= f_l(\mathbf{s}_0)\\ L(\boldsymbol{\lambda}, \boldsymbol{\nu}) &= \sigma_E^2 - 2\sum_{l=0}^L \nu_l \left(\sum_{i=1}^n \lambda_i f_l(\mathbf{s}_i) - f_l(\mathbf{s}_0)\right)\\ \end{aligned}\]

Cont …

\[\begin{aligned} L(\boldsymbol{\lambda}, \boldsymbol{\nu})&= \sum_{i=1}^n\sum_{j=1}^n \lambda_i\lambda_j C_{ij} - 2\sum_{i=1}^n \lambda_i C_{i0} + C_{00} - 2\sum_{l=0}^L \nu_l\left(\sum_{i=1}^n \lambda_i f_{il} - f_{0l}\right)\\ \frac{\partial L}{\partial \lambda_k} &= 2\sum_{j=1}^n \lambda_j C_{kj} - 2C_{k0} - 2\sum_{l=0}^L \nu_l f_{kl} = 0, \:\implies \sum_{j=1}^n \lambda_j C_{kj} - \sum_{l=0}^L \nu_l f_l(\mathbf{s}_k) = C_{k0} \\ \frac{\partial L}{\partial \nu_l} &= -2\left(\sum_{i=1}^n \lambda_i f_l(\mathbf{s}_i) - f_l(\mathbf{s}_0)\right) = 0, \: \implies \sum_{i=1}^n \lambda_i f_l(\mathbf{s}_i) = f_l(\mathbf{s}_0)\\ \sigma_{KU}^2 &= C_{00} - \sum_{i=1}^n \lambda_i C_{i0} + \sum_{l=0}^L \nu_l f_l(\mathbf{s}_0) \end{aligned}\]

Se \(L=0\) (apenas \(f_0(\mathbf{s})=1\)) temos Krigagem Ordinária.

(a) Predição
(b) Variância de krigagem
Figura 14: Krigagem Universal

Krigagem com Deriva Externa (KED)

  • Variante da KU onde a tendência \(\mu(\mathbf{s})\) é modelada usando covariáveis \(x_i(\mathbf{s})\) conhecidas em todo o domínio (ex: Elevação), e não por coordenadas.
\[\begin{aligned} \quad Y(\mathbf{s}) &= \mu(\mathbf{s}) + \delta(\mathbf{s}), \: \mu(\mathbf{s}) = a_0 + a_1 x(\mathbf{s}), \: E[\delta(\mathbf{s})] = 0, \: \text{Cov}(\delta(\mathbf{s}_i), \delta(\mathbf{s}_j)) = C_{ij} \\ E[\hat{Y} - Y_0] &= \sum \lambda_i (a_0 + a_1 x_i) - (a_0 + a_1 x_0)= a_0\left(\sum_{i=1}^n \lambda_i - 1\right) + a_1\left(\sum_{i=1}^n \lambda_i x_i - x_0\right) = 0\\ \sum_{i=1}^n \lambda_i = 1 \: \text{e} \: &\sum_{i=1}^n \lambda_i x(\mathbf{s}_i) = x(\mathbf{s}_0)\\ L(\boldsymbol{\lambda}, \nu_0, \nu_1) &= \sigma_E^2 - 2\nu_0\left(\sum_{i=1}^n \lambda_i - 1\right) - 2\nu_1\left(\sum_{i=1}^n \lambda_i x(\mathbf{s}_i) - x(\mathbf{s}_0)\right)\\ &= \sum_{i=1}^n\sum_{j=1}^n \lambda_i\lambda_j C_{ij} - 2\sum_{i=1}^n \lambda_i C_{i0} + C_{00} - 2\nu_0\left(\sum_{i=1}^n \lambda_i - 1\right) - 2\nu_1\left(\sum_{i=1}^n \lambda_i x_i - x_0\right) \end{aligned}\]
\[\begin{aligned} \frac{\partial L}{\partial \lambda_k} &= 2\sum_{j=1}^n \lambda_j C_{kj} - 2C_{k0} - 2\nu_0 - 2\nu_1 x_k = 0 \\ &\implies \sum_{j=1}^n \lambda_j C_{kj} - \nu_0 - \nu_1 x_k = C_{k0}, \quad k=1,\dots,n \\ \frac{\partial L}{\partial \nu_0} &= -2\left(\sum \lambda_i - 1\right) = 0 \implies \sum \lambda_i = 1 \\ \frac{\partial L}{\partial \nu_1} &= -2\left(\sum \lambda_i x_i - x_0\right) = 0 \implies \sum \lambda_i x_i = x_0\\ \sigma_{\text{KED}}^2 &= C_{00} - \sum_{i=1}^n \lambda_i C_{i0} + \nu_0 + \nu_1 x(\mathbf{s}_0) \end{aligned}\]
(a) Variograma
(b) Predição
(c) Variância de krigagem
Figura 15: Krigagem com deriva externa

Co-Krigagem (CK)

Usada para estimação de uma variável primária \(Y_1\) usando sua própria autocorrelação e a correlação cruzada com variáveis secundárias \(Y_2 \dots Y_k\) (Co-regionalização).

\[\begin{aligned} \quad Y_1(\mathbf{s}) &= \mu_1 + \delta_1(\mathbf{s}), \:Y_2(\mathbf{s}) = \mu_2 + \delta_2(\mathbf{s}), \: \: \text{Cov}(\delta_a(\mathbf{s}_i), \delta_b(\mathbf{s}_j)) = C_{ab}(\mathbf{s}_i, \mathbf{s}_j) \\ \quad \hat{Y}_1(\mathbf{s}_0) &= \sum_{i=1}^{n_1} \lambda_{1i} Y_1(\mathbf{s}_{1i}) + \sum_{j=1}^{n_2} \lambda_{2j} Y_2(\mathbf{s}_{2j})\\ E[\hat{Y}_1 - Y_1] &= \mu_1\left(\sum \lambda_{1i} - 1\right) + \mu_2 \sum \lambda_{2j} = 0, \: \: \text{Restrições:} \:\sum_{i=1}^{n_1} \lambda_{1i} = 1 \: \text{e} \: \sum_{j=1}^{n_2} \lambda_{2j} = 0\\ \sigma_E^2 &= \sum_{i}\sum_{k} \lambda_{1i}\lambda_{1k} C_{11}(\mathbf{s}_{1i}, \mathbf{s}_{1k}) + \sum_{j}\sum_{l} \lambda_{2j}\lambda_{2l} C_{22}(\mathbf{s}_{2j}, \mathbf{s}_{2l}) +\\ &\quad +2\sum_{i}\sum_{j} \lambda_{1i}\lambda_{2j} C_{12}(\mathbf{s}_{1i}, \mathbf{s}_{2j}) \\ &\quad - 2\sum_{i} \lambda_{1i} C_{11}(\mathbf{s}_{1i}, \mathbf{s}_0) - 2\sum_{j} \lambda_{2j} C_{12}(\mathbf{s}_{2j}, \mathbf{s}_0) + C_{11}(0) \end{aligned}\]
\[\begin{aligned} L(\boldsymbol{\lambda}_1, \boldsymbol{\lambda}_2, \nu_1, \nu_2) &= \sigma_E^2 - 2\nu_1\left(\sum_{i=1}^{n_1} \lambda_{1i} - 1\right) - 2\nu_2\sum_{j=1}^{n_2} \lambda_{2j}\\ \frac{\partial L}{\partial \lambda_{1i}} &= 0 \implies \sum_{k} \lambda_{1k} C_{11}^{ik} + \sum_{j} \lambda_{2j} C_{12}^{ij} - \nu_1 = C_{11}^{i0} \\ \frac{\partial L}{\partial \lambda_{2j}} &= 0 \implies \sum_{l} \lambda_{2l} C_{22}^{jl} + \sum_{i} \lambda_{1i} C_{12}^{ij} - \nu_2 = C_{12}^{j0} \\ \frac{\partial L}{\partial \nu_1} &= 0 \implies \sum \lambda_{1i} = 1 \\ \frac{\partial L}{\partial \nu_2} &= 0 \implies \sum \lambda_{2j} = 0\\ \sigma_{\text{CK}}^2 &= C_{11}(0) - \left(\sum \lambda_{1i} C_{11}^{i0} + \sum \lambda_{2j} C_{12}^{j0}\right) + \nu_1 \end{aligned}\]
(a) Variograma 1
(b) Variograma 2
(c) Predição
(d) Variância de krigagem
Figura 16: Co-Krigagem

Outros tipos de Krigagem

\(\Longrightarrow\) Ver no material de apoio

Avaliação da performance preditiva

Objetivo: Verificar se as predições são precisas (acurácia) e se a incerteza (variância de krigagem) está bem calibrada.

Métodos comuns

\(\Longrightarrow\) Validação Cruzada (Leave-One-Out)

  • Remove-se o ponto observado \(Y(\mathbf{s}_i)\).

  • Estima-se \(\hat{Y}_{-i}(\mathbf{s}_i)\) usando os \(n-1\) vizinhos.

  • Calcula-se o erro e a variância \(\sigma_E^2(\mathbf{s}_i)\).

\[\begin{aligned} \varepsilon_i &= Y(\mathbf{s}_i) - \hat{Y}_{-i}(\mathbf{s}_i) \\ \varepsilon_i &\sim \mathcal{N}(0, \sigma_E^2(\mathbf{s}_i)) \end{aligned}\]

\(\Longrightarrow\) Resíduos padronizados

Padroniza-se o erro pelo desvio padrão estimado (variância de krigagem).

\[\begin{aligned} \theta_i &= \frac{Y(\mathbf{s}_i) - \hat{Y}_{-i}(\mathbf{s}_i)}{\sigma_k(\mathbf{s}_i)} \\ \theta_i &\sim \mathcal{N}(0, 1) \implies \theta_i^2 \sim \chi^2_{(1)} \\ E[\theta_i^2] &= \text{Var}(\theta_i) + (E[\theta_i])^2 = 1 \end{aligned}\]

\(\Longrightarrow\) Razão de Desvio Quadrático Médio (MSDR):

A média dos quadrados dos resíduos padronizados sobre \(n\) pontos:

\[\text{MSDR} = \frac{1}{n} \sum_{i=1}^n \theta_i^2 = \frac{1}{n} \sum_{i=1}^n \frac{[Y(\mathbf{s}_i) - \hat{Y}_{-i}(\mathbf{s}_i)]^2}{\sigma_E^2(\mathbf{s}_i)}\]

  • \(\text{MSDR} \approx 1\): A variância dos erros reais é compatível com a variância predita.

    • O modelo descreve corretamente a variabilidade espacial.
  • \(\text{MSDR} > 1\): \(\frac{1}{n}\sum \varepsilon_i^2 > \frac{1}{n}\sum \sigma_E^2\)

    • O erro real é maior do que o modelo prevê.
    • Causas: Subestimação do efeito pepita ou do patamar; outliers não modelados.
  • \(\text{MSDR} < 1\): \(\frac{1}{n}\sum \varepsilon_i^2 < \frac{1}{n}\sum \sigma_E^2\)

    • A variância de krigagem é pessimista (maior que o erro efetivo).

    • Causas: Modelo assume ruído (pepita) superior ao real.

Aplicações práticas da Geoestatística

Casos de uso por Área de Conhecimento

  • Mineração: Estimativa de teores e tonelagem em blocos não lavrados. Essencial para avaliação de recursos minerais.

  • Engenharia Civil/Elétrica: Mapeamento da resistividade elétrica do solo para projetos de aterramento e segurança de subestações.

  • Geofísica/Petróleo: Simulação estocástica de porosidade e permeabilidade em reservatórios para análise de fluxo de fluidos.

  • Energias Renováveis: Interpolação de potencial eólico ou solar a partir de estações esparsas para prospeção energética.

  • Agricultura: Mapeamento de nutrientes (pH, P, K, etc.) para aplicação de fertilizantes à taxa variável.

  • Ciências do Solo: Estudo da compactação e humidade do solo para planeamento de rega.

  • Monitorização Ambiental: Delimitação de plumas de contaminação (metais pesados) em lençóis freáticos ou solos industriais.

  • Ecologia: Estimativa de biomassa e stocks de carbono florestal combinando inventários de campo e deteção remota.

  • Saúde Pública: Mapeamento de superfícies de risco contínuo para doenças vetoriais (ex: Malária) correlacionadas com variáveis ambientais.

  • Economia/Atuária: Previsão de preços imobiliários em zonas não amostradas e tarifação de seguros agrícolas (risco sistémico).

Próximos Passos

Na Aula 04, veremos a parte prática deste conteúdo. Por favor, leia todo o Capítulo 3, com foco no pacote gstat e na implementação dos diferentes tipos de krigagem no material de apoio.


Baixar Script da Aula 04 (.R)


Referências Bibliográficas

CRESSIE, Noel. The origins of kriging. Mathematical geology, v. 22, n. 3, p. 239–252, 1990.
CRESSIE, Noel. Geostatistical analysis of spatial data. Spatial statistics and digital image analysis, v. 1991, p. 87–108, 1991.
CRESSIE, Noel. Statistics for spatial data. [S.l.]: John Wiley & Sons, 1993.
CRESSIE, Noel; HAWKINS, Douglas M. Robust estimation of the variogram: I. Journal of the international Association for Mathematical Geology, v. 12, n. 2, p. 115–125, 1980.
CRESSIE, Noel; MOORES, Matthew T. Spatial statistics. In: Encyclopedia of mathematical geosciences. [S.l.]: Springer, 2022. p. 1–11.
DIGGLE, Peter J.; TAWN, Jonathan A.; MOYEED, Rana A. Model-based geostatistics. Journal of the Royal Statistical Society Series C: Applied Statistics, v. 47, n. 3, p. 299–350, 1998.
ECKER, Mark D. Geostatistics: past, present and future. Encyclopedia of Life Support Systems (EOLSS), p. 50614–0506, 2003.
GUTTORP, Peter; GNEITING, Tilmann. Studies in the history of probability and statistics XLIX on the Matérn correlation family. Biometrika, v. 93, n. 4, p. 989–995, 2006.
JOURNEL, Andre G.; HUIJBREGTS, Charles J. Mining geostatistics. 1976.
KRIGE, Danie; KLEINGELD, Wynand. The genesis of geostatistics in gold and diamond industries. In: Space, Structure and Randomness: Contributions in Honor of Georges Matheron in the Field of Geostatistics, Random Sets and Mathematical Morphology. [S.l.]: Springer, 2005. p. 5–16.
MATHERON, G. " Principles of geostatistics", Economic Geology, 58, pp 1246-1266. 1963.
MATHERON, George. The theory of regionalised variables and its applications. Les Cahiers du Centre de Morphologie Mathématique, v. 5, p. 212, 1971.
MYERS, Donald E. Spatial interpolation: an overview. Geoderma, v. 62, n. 1-3, p. 17–28, 1994.
NHANCOLOLO, A. M. et al. Comparison between the laboratory method and the Stolf penetrometer in soil density analysis: a study using geostatistical approaches. Sigmae, v. 13, n. 1, p. 63–78, 2024.
OLIVER, MA; WEBSTER, R. A tutorial guide to geostatistics: Computing and modelling variograms and kriging. Catena, v. 113, p. 56–69, 2014.
SAHU, Sujit. Bayesian modeling of spatio-temporal data with R. [S.l.]: Chapman; Hall/CRC, 2022.
SCALON, João Domingos. Análise de Dados Espaciais com Aplicações em R. Lavras: Ed. UFLA, 2024. p. 275
WACKERNAGEL, Hans. Multivariate geostatistics: an introduction with applications. [S.l.]: Springer Science & Business Media, 2003.
YAMAMOTO, Jorge Kazuo; LANDIM, Paulo M. Barbosa. Geoestatística: conceitos e aplicações. São Paulo: Oficina de Textos, 2013.